Zulip uses Markdown to allow you to easily format your messages. Even if you've
never heard of Markdown, you are probably familiar with basic Markdown
formatting, such as using * at the start of a line in a bulleted list, or
around text to indicate emphasis.
Formatting buttons in the compose box make it easy to format your message. For
those who prefer to type the formatting they need, this page provides an
overview of all the formatting available in Zulip. There is a convenient
message formatting reference in the Zulip
app that you can use whenever you need a reminder of the formatting syntax
below.
Text emphasis
In Zulip, you can make text bold or italic, or cross it out with strikethrough.
What you type
**bold**, *italic*, and ~~strikethrough~~ text
***~~All three at once~~***
What it looks like

You can also use buttons or keyboard shortcuts (Ctrl +
B or Ctrl + I) to make text bold or italic.
Learn more.
Bulleted lists
Zulip supports Markdown formatting for bulleted lists.
You can create bulleted lists using *, -, or + at the start of each line.
Add two spaces before the bullet to create a nested list.
What you type
* bulleted lists
* with sub-bullets too
* sub-bullets start with 2 spaces
* start sub-sub-bullets with 4 spaces
* multi
line
bullet
- dashes and
+ pluses are ok too
What it looks like

You can also use the Bulleted list
()
button in the compose box to insert bulleted list formatting.
Learn more.
Numbered lists
Zulip supports Markdown formatting for numbered lists.
You can create numbered lists by putting a number followed by a . at the start
of each line. Lists are numbered automatically, so you can reorder list items
while editing your message without having to update the numbers. Add two spaces
before the number to create a nested list.
What you type
1. numbered lists
1. increment automatically
1. use nested lists if you like
3. delete or reorder lines without fixing the numbering
1. one more
17. lists can start at any number
18. so you can continue a list after some other text
What it looks like

You can also use the Numbered list
()
button in the compose box to insert numbered list formatting.
Learn more.
Links
In Zulip, you can insert a named link using Markdown formatting. In addition, Zulip
automatically creates links for you when you enter:
What you type
Named link: [Zulip homepage](zulip.com)
A URL (links automatically): zulip.com
Channel link: #**channel name**
Topic link: #**channel name>topic name**
Message link: #**channel name>topic name@123**
Custom linkifier: For example, #2468 can automatically link to an issue in your tracker.
What it looks like

You can also use the Link
()
button or a keyboard shortcut (Ctrl + Shift +
L) to insert a link. Learn more.
Code blocks
You can write snippets of code, code blocks, and other text in a fixed-width
font using standard Markdown formatting. Zulip also has syntax
highlighting and supports configuring
custom code playgrounds.
What you type
Inline code span: `let x = 5`
Code block:
```
def f(x):
return x+1
```
Syntax highlighting:
```python
def fib(n):
# TODO: base case
return fib(n-1) + fib(n-2)
```
You can also use ~~~ to start code blocks, or just indent the code 4 or more
spaces.
What it looks like

A widget in the top right corner of code blocks allows you to easily
copy code to your clipboard.
You can also use the Code ()
button in the compose box to insert code formatting.
Learn more.
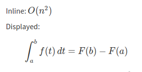
LaTeX
Zulip supports math typesetting powered by KaTeX.
Their support table is a
helpful resource for checking what's supported or how to express
something.
What you type
Inline: $$O(n^2)$$
Displayed:
``` math
\int_a^b f(t)\, dt = F(b) - F(a)
```
What it looks like

You can also use the LaTeX ()
button in the compose box to insert LaTeX formatting.
Learn more.
Quotes
You can format quotes one line at a time, or create a block of text that will be
formatted as a quote.
What you type
> a multi-line
quote on two lines
normal text
```quote
A multi-paragraph
quote in two paragraphs
```
What it looks like

There is a handy option to quote message to a
message in Zulip.
You can also use the Quote ()
button in the compose box to insert quote formatting.
Learn more.
Spoilers
Zulip lets you temporarily hide content in a collapsible spoiler section,
with only the header initially shown. Clicking on the header reveals the hidden
content.
What you type
```spoiler The spoiler heading might summarize what's inside
This content is initially hidden.
> You can combine spoilers with other formatting.
```
A message can contain both spoilers and other content.
```spoiler
Leave the heading blank if you like.
```
What it looks like
Collapsed spoilers:

Expanded spoilers:

You can also use the Spoiler
() button in the compose
box to insert spoiler formatting. Learn more.
Emoji and emoticons
You can use emoji in Zulip messages and topics.
There are several ways to use an emoji in your message:
You can add custom emoji for your organization. Like
default emoji, custom emoji can be entered into the compose box by name, or
selected from the emoji picker.
What you type
:octopus: :heart: :zulip: :)
What it looks like

Mention a user or group
You can mention a team member or user group to call their
attention to a message. Mentions follow the same notification
settings as direct messages and alert
words. A silent mention
allows you to refer to a user without triggering a notification. A wildcard
mention allows you to
mention everyone on a channel,
or mention all topic participants.
What you type
Users: @**Bo Lin** or @**Ariella Drake|26** (two `*`)
User group: @*support team* (one `*`)
Silent mention: @_**Bo Lin** or @_**Ariella Drake|26** (`@_` instead of `@`)
Wildcard mentions: @**all**, @**everyone**, @**channel**, @**topic** (two `*`)
A | followed by a user ID is inserted automatically when you select a
user from the typeahead suggestions, if there are two users with the same
name in the organization.
What it looks like

/me action messages
You can send messages that display your profile picture and name as the
beginning of the message content by beginning a message with /me. You can
use this feature in conversations when you want to describe actions you've
taken or things that are happening around you using a third-person voice.
For example, if you are Ada Starr:
What you type
What it looks like

Global times
When collaborating with people in different time zones, you often need to
express a specific time clearly. In Zulip, rather than typing out your time
zone and having everyone translate the time in their heads, you can insert
a time, and it will be displayed to each user in their own time zone (just
like timestamps on Zulip messages).
What you type
A date picker will appear once you type <time.
Our next meeting is scheduled for <time:2024-08-06T17:00:00+01:00>.
You can also use other formats such as UNIX timestamps or human readable
dates, for example, <time:August 06 2024, 5:00 PM BST>.
What it looks like
A person in San Francisco will see:

While someone in London will see:

You can also use the Add global time
() button in the compose
box to select a time from the date picker. Learn more.
Tables
Zulip supports Markdown formatting for tables.
What you type
|| yes | no | maybe
|---|---|:---:|------:
| A | left-aligned | centered | right-aligned
| B | extra spaces | are | ok
| C | **bold** *italic* ~~strikethrough~~ :smile: ||
The initial pipes (|) are optional if every entry in the first column is
non-empty.
The header separators (---) must be at least three dashes long.
What it looks like

Polls
Zulip makes it easy to create a poll. Polls in Zulip are collaborative, so
anyone can add new options to a poll. However, only the creator of the poll can
edit the question.
What you type
/poll What did you drink this morning?
Milk
Tea
Coffee
What it looks like

You can also use the Add poll () button in the compose box to create a
poll. Learn more.
Collaborative to-do lists
Zulip supports creating shared to-do lists where any user who can access the
message can add tasks by entering the task's title and description, and clicking
Add task. Once created, task titles and descriptions cannot be edited. The task
list title can be edited any time by the to-do list's creator.
What you type
/todo Today's tasks
Task 1: This is the first task.
Task 2: This is the second task.
Last task
What it looks like
Tasks are marked (and unmarked) as completed by clicking the checkboxes
on the left.

You can also use the Add to-do list () button in the compose box to create a
shared to-do list. Learn more.
Zulip supports Markdown formatting for paragraphs and visual section breaks,
which you can use to control the layout of your text and to visually separate
different sections of content.
What you type
One blank space for a new paragraph
New line, same paragraph
New paragraph
---, ***, or ___ for a horizontal line
Over the line
---
Under the line
What it looks like

A summary of the formatting syntax above is available in the Zulip app.
{relative|help|message-formatting}
You can also open the compose box, and click
the question mark () icon
at the bottom of the compose box.
Related articles